Produção de argumentos para alguns “por quês” de licenciandos em matemática
A curiosidade manifestada sob forma de questionamentos é um fator rico e importante para a aprendizagem. Procedimentos, resultados e fórmulas matemáticas aceitas e reproduzidas de maneira automatizada por professores, muitas vezes são recebidas com estranhamento por estudantes, momento em que são lançados os “por quês”. Porém, nem sempre os professores estão preparados para respondê-los. Este artigo é proveniente de algumas inquietações e questionamentos que surgem no dia a dia da sala de aula e tem por objetivo servir de apoio ao trabalho docente.
Downloads

Artigos
PRODUÇÃO DE ARGUMENTOS PARA ALGUNS “POR QUÊS” DE LICENCIANDOS EM MATEMÁTICA
PRODUÇÃO DE ARGUMENTOS PARA ALGUNS “POR QUÊS” DE LICENCIANDOS EM MATEMÁTICA
Olhar de Professor, vol. 22, 2019
Universidade Estadual de Ponta Grossa
Recepción: 01 Febrero 2018
Aprobación: 31 Diciembre 2018
Resumo: A curiosidade manifestada sob forma de questionamentos é um fator rico e importante para a aprendizagem. Procedimentos, resultados e fórmulas matemáticas aceitas e reproduzidas de maneira automatizada por professores, muitas vezes, são recebidas com estranhamento por estudantes, momento em que são lançados “por quês”1, porém nem sempre os professores estão preparados para responder. O objetivo deste artigo é construir justificações para alguns “por quês” matemáticos de licenciandos em Matemática e servir de apoio e referência a estudantes, professores e pesquisadores. Ao longo do texto são desenvolvidos quatro “por quês” baseados em registros e encaminhamentos que são utilizados e desenvolvidos em sala de aula com os futuros professores de Matemática. Ao final, conclui-se que trabalhar “por quês” na formação do professor contribui para o desenvolvimento de uma postura responsável e investigativa do estudante e futuro professor e para uma mudança na visão sobre a Matemática.
Palavras-chave: Por quês matemáticos, Procedimentos, Formação de professores.
Abstract: The curiosity manifested in form of questions is a rich and important factor for learning. Proccedings, results and mathematical formulas accepted and reproduced by teachers as an automated way, are often received with strangeness by students, moments when the “why” are released, however the teachers aren’t always ready to answer. The purpose of this article is to build justifications for some mathematical “why” from future mathematics teachers and serve as support and reference for students, teachers and researchers. Throughout the text are developed four “why” based on registers and referrals that are used and developed in the classroom with future mathematics teachers. At the end, it is concluded that to work “why” in teacher formation contributes to the development of student’s responsible and investigative posture and future teacher and to the change in view about Mathematics.
Keywords: Mathematical Why, Proccedings, Teachers Formation.
Resumen: La curiosidad manifestada en forma de preguntas es un factor rico e importante para la aprendizaje. Procedimientos, resultados y fórmulas matemáticas aceptadas y reproducidas de manera automatizada por los maestros, a menudo, son recibidos de manera extraña por los estudiantes, momento en el cual se les da "por qués", pero los maestros no siempre están preparados para responder. El objectivo de este articulo es construir justificaciones para algunos "por qué" matematicos de estudiantes universitarios de matemáticas y para apoyar y hacer referencia a estudiantes, maestros e investigadores. En el texto, cuatro "por qués" se desarrollan en base a registros y referencias que se usan y desarrollan en classes con futuros maestros de matemáticas. Al final, se concluye que trabajar lo "por qués" en la formación de los estudiantes universitarios de Matemáticas, contribuye al desarrollo de una postura responsable e investigativa del alumno y futuro docente y a un cambio en la visión de las matemáticas.
Palabras clave: Por qués matemáticos, Procedimientos, Formación de profesores.
INTRODUÇÃO
A curiosidade é um fator essencial quando se trata de aprendizagem, desenvolvimento, investigação e exploração, mas ser curioso pode significar confrontar, duvidar ou não aceitar o que está sendo (ex)posto. Em sala de aula, o questionamento de um estudante, mesmo sendo motivado por curiosidade, pode ser encarado como um enfrentamento por alguns professores. Por outro lado, muitos alunos ainda pensam que seus professores sabem tudo sobre o que lecionam e, muitas vezes, ficam receosos de perguntar sobre o que não sabem para não demonstrar ignorância ou desconhecimento.
Em Matemática, muitos procedimentos e operações são realizados de maneira “automática” ou mecanizada, e diversos resultados e fórmulas são utilizados sem um entendimento, sob o argumento de que são assim “porque é regra da matemática”. Possivelmente, muitos de nós já ouvimos essa resposta como “explicação” ou já recorremos a ela para responder os alunos mais curiosos.
Nosso papel como professores é encorajar nossos alunos a questionar, pesquisar, sair da zona de conforto e se desenvolver na busca pelo conhecimento. Consequentemente, “é preciso permitir que [...] se pronunciem em nossas aulas, incentivando-os a isso. Cabe ao professor abrir esse espaço e estar preparado para saber lidar com as indagações dos alunos” (COSTA; SILVA, 2016. p. 02). Afinal, “o objectivo central da Matemática a qualquer nível, [...], deverá ser ensinar-vos a pensar. Deverá incentivar-vos a perguntar ‘por quê?’” (COSTA, 2015, p. 04).
Responder a um “por quê” é argumentar sobre a causa, motivo, razão daquela situação. Lorenzato (1993) conceitua “por quê”, como procedimento matemático ou seu significado, e porque, como uma resposta correta a um “por quê”, cabendo ao professor conhecê-la e ensiná-la. Assim, tomamos “por quê” como uma pergunta ou questionamento relacionado a algum procedimento matemático ou sobre seu significado, e consideramos porque como uma resposta correta em situação de ensino. O correto refere-se a uma justificativa legítima à medida que possa estabelecer uma interação produtiva em situação de ensino (BARBOSA, 2011).
Conforme a pesquisa realizada por Lins, Lorenzato e Sousa (2018) com licenciandos em Matemática, professores em formação conservam dúvidas sobre “por quês” matemáticos ou os desconhecem, mesmo ao final do curso. De acordo com os autores, “muitos dos por quês matemáticos que nos ocorreram, e ocorrem, de forma natural, nunca os verbalizamos” (p. 09) e possivelmente os carregamos. Além desses autores, outros estudos, como o de Lorezanto (1993) e o de Costa e Silva (2016), trazem indicativos de que muitos professores desconhecem a resposta a esses “por quês”, e que tais questionamentos não são discutidos de modo sistemático nos cursos de formação. Como professores de disciplinas de Prática de Ensino, Fundamentos de Matemática, Geometria Plana e Espacial, entre outras, em um curso de formação inicial de professores de Matemática, nos depararmos com diversos “por quês” dos licenciandos e buscamos desenvolver com eles esse estudo e postura investigativa em sala de aula.
Nos dias atuais, dispomos de uma ferramenta a mais para pesquisar e buscar respostas aos questionamentos de nossos alunos: a internet! Ela nos conecta com o mundo e está literalmente na palma de nossas mãos por meio do celular. Com apenas alguns cliques, “navegamos” nos mais diversos assuntos. Isso tem mudado a relação ensino e aprendizagem em sala de aula. No ensino superior, etapa em que os alunos são mais autônomos, isso fica bem evidente. Quando querem saber algo, rapidamente recorrem aos seus smartfones. Nesse contexto, responder qualquer coisa diante de “por quê” ou tentar explicar o que não sabe não é uma opção viável. Ao sugerir uma pesquisa ou mesmo pesquisar e responder posteriormente ao aluno, o professor, além de exercer responsabilidade, valoriza a curiosidade do estudante.
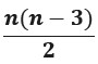
Moriel Junior e Wielewski (2011) indicam que há a necessidade de uma bibliografia que trate especificamente de respostas a “por quês” matemáticos dos estudantes. A partir de experiências vivenciadas em nossa prática docente, organizamos alguns “por quês” matemáticos com o objetivo de construir justificações para “por quês” matemáticos de licenciandos em Matemática e de servir de apoio e referência a estudantes, professores e pesquisadores. Ao longo do texto são desenvolvidos quatro exemplos do uso de “por quês”, sendo três relacionados a fórmulas e um, a resultado convencionado em Matemática: 1) Por que a fórmula do número de diagonais de um polígono convexo é dada por [equação]?; 2) Por que a fórmula que determina a soma dos ângulos internos de um polígono convexo de n lados é dada por [equação]?; 3) Por que 0! = 1?; e 4) Por que a fórmula da soma dos n primeiros números ímpares positivos é igual a n2 ?

Em disciplinas de Prática de Ensino, realizamos atividades e discussões de “por quês” de Ensino Fundamental e Médio relacionados à divisão e multiplicação de decimais, divisão de frações, regras de sinais, fórmulas, nomenclaturas, símbolos etc. para que os licenciandos possam ampliar seus conhecimentos quanto a procedimentos automatizados e refletir a partir da perspectiva de um futuro professor, buscando respostas e argumentos acessíveis a alunos desses segmentos de ensino.
Os discentes geralmente têm bastante dificuldades em construir justificativas, reforçando os indícios das pesquisas acima mencionadas. Assim, adotamos essa prática em sala de aula porque “a preparação docente em relação aos por quês matemáticos dos estudantes da educação básica possibilita superar certa desarticulação teoria-prática nos cursos de licenciatura uma vez que está em jogo uma formação vinculada à prática profissional” (MORIEL JUNIOR; WIELEWSKI, 2011, p. 5).
Os “por quês” e as justificações aqui apresentadas resultaram de diversas situações ocorridas em sala de aula em nossa prática docente, seja de atividades diretamente relacionadas ao estudo de “por quês” realizadas em disciplinas de Prática de Ensino, seja de perguntas que são realizadas pelos licenciados no dia a dia em sala de aula em outras disciplinas do curso. Foram utilizados registros de nossa prática docente, como notas de aula, atividades, trabalhos e questionamentos levantados no ambiente de formação inicial em Matemática. Para cada “por quê” são apresentadas possibilidades de encaminhamentos que utilizamos e desenvolvemos em sala de aula com os futuros professores. Em cada caso, sempre que possível, são apresentadas mais de uma possibilidade de justificação na tentativa de dispor opções que possam ser utilizadas de acordo com o contexto e nível de ensino e aprendizagem. Não se trata de uma abordagem com rigor matemático, mas de contribuições mais informais, intuitivas, de natureza didático-metodológica que o professor pode levar à sala de aula para se comunicar com seus alunos (DANTE, 2015).
Questionamentos e Argumentos
De acordo com Barbosa (2011, p. 12), “o esforço de compreender a relação entre significados e os por quês matemáticos tem indicado a necessidade de empreender estudos relacionados aos diferentes usos e regras da matemática”. Optamos por desenvolver argumentos e justificativas sobre fórmulas matemáticas porque elas raramente são questionadas, são tomadas como prontas e encaminhadas como uma definição matemática, sem uma explicação de por que elas são como são. Aqui buscamos explicar algumas, mas sem a pretensão de detalhar ou explicar todas as fórmulas que são utilizadas como base para explicar outras. Já o zero fatorial, que também será discutido, é uma pergunta recorrente dos estudantes na graduação.
1. Por que a fórmula do número de diagonais de um polígono convexo é dada por ?
Antes de adentrarmos à fórmula do número de diagonais, vejamos alguns conceitos preliminares como segmento de reta, polígono, polígono convexo e diagonal.
Segmento de reta é o conjunto constituído por dois pontos A e B, distintos, e por todos os pontos que se encontram entre A e B, que é chamado segmento de reta AB. Com base em Dante (2015), segmento significa parte, porção. Um segmento de reta é uma parte ou porção da reta, limitado por dois pontos. Por exemplo: quando marcamos dois pontos A e B em uma reta, fica determinado o segmento de reta AB, cuja notação é [equação] ou [equação] .

Os pontos A e B são chamados de extremos ou extremidades do segmento de reta.
Polígono “é uma linha fechada (o ponto inicial coincide com o ponto final) no plano, formada apenas por segmentos de reta que não se cruzam” (DANTE, 2015, p. 155). O prefixo “poli” indica a ideia de muitos, vários, grande quantidade e o radical “gono” quer dizer ângulo. Assim, polígono é uma figura geométrica que possui muitos ângulos e, consequentemente, muitos lados.
Polígono convexo é um polígono classificado como convexo se a reta determinada por dois vértices consecutivos quaisquer deixa todos os demais (n-2) vértices em um mesmo semiplano dos dois que ela determina. Se um polígono não é convexo, então será classificado como polígono côncavo.

Neste trabalho, serão tratados somente os polígonos convexos, por exemplo, triângulos, quadrados, retângulos, losango, paralelogramo, pentágono, hexágono e todas as figuras geométricas que seguem esse padrão de construção. Eles possuem vértices, lados, ângulos internos, ângulos externos e diagonais e podem ser classificados em função do número de ângulos ou do número de lados, ou seja, seus nomes dependem do critério que utilizamos para classificá-los:
Diagonal de um polígono é um segmento de reta cujas extremidades são vértices não consecutivos do polígono, por isso o triângulo não possui diagonal já que todos os seus vértices são consecutivos entre si.
Retornando à questão principal, para calcular a quantidade de diagonais de um polígono de n lados, utilizamos a fórmula [equação]. Por quê? Para o encaminhamento desse “por quê” nas aulas de Prática de Ensino, utilizamos um material disponível em nosso laboratório de Matemática, construído por placas quadradas de mdf2 e pregos pequenos que representam os pontos de vértices de polígonos, partindo de cinco até 21 pregos. Para a construção das diagonais, os alunos são organizados em grupos e utilizam linhas coloridas.

Figura 1 – Artesanato e diagonais
Fonte: os autores.
O objetivo é que eles construam com a linha todas as diagonais do polígono e, por meio de seus resultados e dos colegas, com orientação e mediação do professor, identifiquem a relação entre o número de lados e o número de diagonais dos polígonos, seguindo estas regras: construir todas as diagonais do polígono, sem deixar faltar; a linha não pode ligar pregos vizinhos porque lado não é diagonal; não construir a mesma diagonal duas vezes, isto é, não pode ir e vir pelo mesmo segmento; e não cortar a linha antes que todas as diagonais sejam construídas (REIS et al., 2009).
Os polígonos com maior número de lados exige mais trabalho para a construção das diagonais seguindo as regras postas. Os alunos “se perdem” na contagem em vários momentos, sendo necessário reiniciar. Um sinal de que há algo de errado na construção pode ser percebido pelo pequeno círculo que forma no meio (conforme a Figura 1), uma vez que não pode haver linha traçando-o, pois o espaço circular do meio deve estar livre. Quando todos finalizam, os resultados são colocados na lousa em ordem crescente para auxiliá-los na inferência da relação entre o número de lados e o número de diagonais do polígono. Esse tipo de atividade leva-os a participar do processo de construção de conhecimentos, a compreender a fórmula sem se basear apenas na memorização. Esse material também pode ser utilizado pelo futuro professor com alunos da Educação Básica.
Outros caminhos são trabalhados nas disciplinas de Fundamentos de Matemática e/ou Geometria Plana, conforme segue:
Raciocínio indutivo - Para desenvolver a fórmula, pode-se utilizar o raciocínio indutivo sobre o número n de lados do polígono.
-
· Se n = 3, o polígono é classificado como trilátero e não possuirá diagonal, (como já citado), uma vez que serão desconsiderados sempre três vértices: o próprio e os dois adjacentes.
· Se n = 4, o polígono é classificado como quadrilátero e possui duas diagonais como na Figura 2.
Figura 2: Diagonais de um quadrilátero
Fonte: os autores.
Limitaremos a atenção a um dos vértices: o vértice A . A partir dele, é possível traçar apenas uma diagonal, o segmento [equação]. Os outros dois segmentos traçados a partir do vértice [equação] não se caracterizam como diagonais, e sim como lados, pois os vértices B e D devem ser desconsiderados por serem consecutivos.

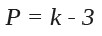
Seja P o número de diagonais possíveis de serem traçadas com o vértice A. Desconsiderando os três vértices com os quais não é possível traçar uma diagonal, a saber: B, D e o próprio A, a relação matemática que descreve esse número é P = 4 - 3, o que significa que, a partir do vértice A é possível traçar uma só diagonal.
Ao conseguir uma expressão para calcular o número de diagonais para um determinado vértice do polígono, basta então multiplicar essa expressão pelo número de vértices desse polígono para encontrar o total de diagonais:
Contudo, procedendo dessa forma, o que se pode observar é que o resultado será o dobro do número real de diagonais do polígono, uma vez que sabemos que o número de diagonais de um quadrilátero é dois e não quatro. Isso se deve ao fato de que uma diagonal é sempre “compartilhada” por dois vértices (a diagonal [equação] é obtida considerando como ponto de partida o vértice A e a diagonal [equação] considerando como ponto de partida o vértice C, porém são segmentos iguais). Daí a necessidade de se dividir por dois, ou seja: [equação]

Façamos agora o caso geral, para um polígono convexo qualquer:
· Se n = k, o polígono possui k lados e [equação] diagonais.

Figura 3: Polígono com k lados
Fonte: os autores.
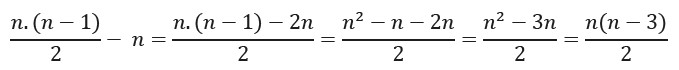
Primeiramente considera-se um dos vértices, por exemplo, o vértice A. A partir desse vértice, é possível traçar (k - 3) diagonais, pois entre os k vértices do polígono não será possível traçar diagonais com os seguintes vértices A2, Ak e com o próprio A1, visto que são vértices consecutivos do polígono e consequentemente formadores de lados. Assim, o número de diagonais formadas a partir de A1 será:
Novamente, a partir de uma expressão para calcular o número de diagonais para um determinado vértice do polígono, basta então multiplicarmos essa expressão pelo número de vértices desse polígono e, em seguida, dividirmos por dois pelo fato de os segmentos [equação] e [equação] serem iguais (quando considerado Ax como ponto de partida ou quando considerado Ay como ponto de partida). Como o polígono possui k vértices, tem-se que o número de diagonais será:
Portanto, para polígonos convexos com n lados, tem-se a expressão:

Ou ainda:
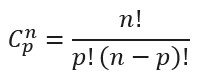
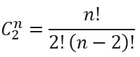
Combinatória: Podemos chegar à mesma expressão [equação] com [equação] utilizando agrupamento de elementos com o uso de combinatória.

Para tanto, vamos retomar brevemente o agrupamento realizado por meio da combinação simples: seja M um conjunto com k elementos, ou seja, M = {a1, a2, a3, ...,ak}. Chamamos de combinação simples dos k elementos, tomados p a p, aos subconjuntos de M constituídos por p elementos. Esse número de subconjuntos pode ser obtido por meio da expressão:
Por exemplo, tomando M = {a, b, c, d} se desejarmos encontrar todos os subconjuntos de M que possua exatamente dois elementos, como resultado teremos:
Ou, ainda,

Nota-se que {a, b} = {b, a}, pois toda combinação é um conjunto, portanto não importa a ordem dos elementos. Assim, podemos associar a cada subconjunto de dois elementos um segmento de reta em que os extremos são os dois elementos do subconjunto.
Voltando ao caso do número de diagonais em um polígono convexo: dado um polígono ABCD, com quatro vértices, podemos construir um conjunto M = {A, B, C, D}. Nota-se que, ao obtermos todos os subconjuntos de M com dois elementos, há alguns que são associados aos lados do polígono, como: [equação]. Portanto, o número de diagonais do polígono será obtido pela diferença entre o total de segmentos possíveis de serem construídos a partir de seus quatro vértices e do número de lados:
Total de segmentos: [equação]

Número de lados do polígono ABCD: 4
Número de diagonais do polígono ABCD = [equação]
De modo geral, dado um polígono convexo A1 A2 A3 ... An com n vértices, podemos construir o seguinte conjunto com esses vértices: M = {A1 A2 A3 ... An} com n elementos. Qual a quantidade de subconjuntos de M, com exatamente dois elementos, é possível formar? Essa quantidade de subconjuntos será a mesma da quantidade de diagonais no polígono? Utilizando a expressão de combinação simples, vamos obter todos os subconjuntos de M com exatamente dois elementos:
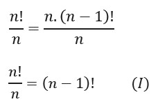
Usando propriedades aritméticas e propriedades de fatorial, tem-se:

Dentre todos os subconjuntos com dois elementos, há alguns que são associados aos lados do polígono, ou seja, para o polígono A1 A2 A3... An, teremos exatamente n subconjuntos associados aos n lados.
A quantidade de lados do polígono A1 A2 A3... An será:
Como a diagonal de um polígono é um segmento que passa pelo seu interior, tem-se que a quantidade de diagonais do polígono A1 A2 A3... An será a diferença entre o total de segmentos formados pelos vértices do polígono (subconjuntos com exatamente dois elementos) e o número de lados. Ou seja, a diferença entre (I) e (II):
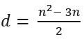
Portanto, [equação]

Com encaminhamentos como esses em sala de aula, concordamos com Moriel Junior e Wielewski (2011, p. 05) ao afirmarem que “respostas adequadas podem contribuir para uma mudança na visão dos alunos sobre a matemática, ao perceberem que não se trata de fórmulas ou regras prontas a serem decoradas”.
2. Por que a fórmula que determina a soma dos ângulos internos de um polígono convexo de n lados é dada por S = (n-2).180°?
A abordagem a esse questionamento também será feita pela ideia indutiva sobre o número de regiões triangulares de um polígono. Essas regiões devem obedecer às seguintes características:
-
1. A união de todas as regiões triangulares possível de obter com os vértices do polígono será igual ao próprio polígono.
2. A interseção entre duas regiões triangulares distintas será vazia.
Uma região triangular é uma região plana limitada por um triângulo. Lembrando:
· Um ângulo é a medida da abertura de duas semirretas que partem da mesma origem, ou seja, é a região entre duas semirretas [equação] que partem de uma mesma origem O, conforme a Figura 4.
Figura 4: Representação de um ângulo
Fonte: os autores.
· Duas retas distintas são paralelas quando possuem a mesma inclinação, ou seja, possuem o mesmo coeficiente angular. A distância entre elas é sempre a mesma e não possuem pontos em comum.
· Uma reta é transversal à outra, se possuem apenas um ponto em comum.
· Duas retas paralelas, r e s, quando interceptadas por uma reta transversal a ambas, formarão ângulos como os representados na Figura 5.

Figura 5: retas paralelas interceptadas por uma transversal
Fonte: os autores.
Os ângulos que ocupam a mesma posição, ou seja, os ângulos correspondentes, são congruentes. Além disso, os ângulos opostos pelo vértice também são congruentes.
Assim, [equação] são equivalentes entre si, assim como [equação] também o são: [equação]

O estudo da fórmula da soma dos ângulos internos de polígonos convexos será iniciado de maneira indutiva por casos particulares para chegar-se ao caso geral.
Seja n o número de lados do polígono.
● Se n = 3, o polígono será um trilátero ou triângulo.
Considere o triângulo ABC. Seu número de lados, vértices e ângulos internos é igual a três. Com seus três vértices é possível obter apenas uma região triangular ABC, que é o próprio triângulo:
Figura 6: região triangular em um triângulo
Fonte: os autores.
Pela relação dos ângulos entre retas paralelas interceptadas por uma transversal exposta acima, pode-se perceber que a soma dos ângulos internos [equação] é igual a 180° (meia volta).
É possível mostrar essa soma de maneira prática em sala de aula por meio de dobraduras. O professor pode recortar diferentes tipos de triângulos e juntar as três pontas (vértices), conforme os exemplos a seguir.

Figura 7: Soma dos ângulos internos em triângulos
Fonte: os autores.
As linhas pontilhadas representam o local em que o papel será dobrado. A junção dos três ângulos/cantos resultará em um ângulo de meia volta (180º).
● Se n = 4 o polígono será um quadrilátero.
Seja ABCD um quadrilátero. Nele haverá quatro vértices, quatro lados e quatro ângulos internos. Quantas regiões triangulares é possível obter com os quatro vértices do quadrilátero de forma que sua união seja o próprio quadrilátero? E de modo que duas regiões distintas sejam sempre disjuntas (interseção vazia)? (Características 1 e 2 listadas anteriormente).
Figura 8: Regiões triangulares em um quadrilátero
Fonte: os autores.
Fixando o vértice A, pode-se obter as regiões ABC e ACD. O número de regiões triangulares será igual a dois, conforme a figura 8.
Observe que pelo vértice A foi possível traçar apenas uma diagonal. Então, é possível estabelecer uma relação entre o número de regiões triangulares e o número de diagonais que partem de um determinado vértice:
Pelo caso anterior, sabe-se que a soma dos ângulos internos de um triângulo é igual a 180°. Dessa forma, a soma Importar imagen dos ângulos internos do quadrilátero será dada pelo número de regiões triangulares multiplicado por 180º:

● Se n = 5 o polígono será um pentágono.
Usando a ideia de obter regiões triangulares, quantas regiões é possível descrever utilizando os cinco vértices do pentágono?
Fixando o vértice A, podem ser obtidas duas diagonais e três regiões triangulares:
Figura 9: Regiões triangulares em um pentágono
Fonte: os autores.
Observe que o número de regiões triangulares obedece a relação:
Portanto, a soma dos ângulos internos do pentágono será:

● Se o número de lados for igual a n?
Considere agora um polígono de n vértices V1V2V3 ... Vn, ou seja, uma região fechada formada pela união dos segmentos [equação].
Figura 10: Polígono com Importar imagen vértices
Fonte: os autores.
Quantas regiões triangulares poderão ser construídas nesse polígono? A união de todas essas regiões deve resultar no próprio polígono e a interseção entre duas regiões distintas deve ser vazia.
Observe que, nos casos de n = 3, n = 4, n = 5, houve:
-
V3 → 1 região triangular
V4 → 2 regiões triangulares
V5 → 3 regiões triangulares
-
Indutivamente:
Vn → n - 2 regiões triangulares
Em outras palavras, fixando o vértice A, podem ser obtidas exatamente (n - 2) regiões triangulares:

Figura 11: Regiões triangulares em um polígono com n vértices
Fonte: os autores.
Assim, como a soma dos ângulos internos é obtida pela multiplicação entre o número de regiões triangulares e a soma dos ângulos internos de uma região triangular, tem-se que a soma dos ângulos internos de um polígono convexo qualquer será:
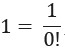
3. Por que 0! = 1?
Em Análise Combinatória, utiliza-se o conceito de número fatorial. Um resultado empregado como regra sem maiores questionamentos é o zero fatorial. Basta uma simples consulta a alguns livros e isso será encontrado como definição. Mas por que 0! = 1 se já tem 1! = 1? Esse questionamento é bem comum entre os licenciandos.
O fatorial de um número natural n, representado por n!, é calculado pela multiplicação de n por todos os seus antecessores até chegar ao número 1:
Em outras palavras, n! é o produto de todos os naturais menores ou iguais a n mas note que o zero é excluído. Então, afinal, por que 0! = 1, se 1 também é igual a um? Há uma explicação para isso?
O conceito de fatorial é, em princípio, definido para números maiores que zero a fim de simplificar expressões em cálculos como as de arranjos e permutações de elementos. De início, não faz sentido pensar em 0!, porque, como se pode determinar uma sequência sem elementos? Como calcular a permutação de objeto nenhum? Contudo, quando começamos a abordar os conceitos de conjuntos nos deparamos com a situação de 0!.
Uma expressão usada em Análise Combinatória para calcular o número de combinações é dada por
Importar imagen

Essa equação se refere ao número de agrupamentos diferentes, com p elementos cada uma, que é possível formar a partir de um conjunto com n elementos, lembrando que em combinações a ordem dos elementos não importa. Por exemplo, com um conjunto contendo três elementos {a, b, c}, podem ser formados vários subconjuntos:
-
· Por convenção: Ø
· Contendo apenas um elemento: {a}, {b}, {c}
· Contendo apenas dois elementos: {a, b}, {a, c}, {b, c}
· Contendo três elementos: {a, b, c}
Há três subconjuntos contendo apenas um elemento, o que é obtido pela combinação de três elementos tomados 1 a 1.
Da mesma forma, pode ser observado que há três subconjuntos contendo apenas dois elementos, que são obtidos pela combinação de três elementos tomados 2 a 2.
A equação acima “funciona bem” para seu “propósito original”, ou seja, sempre que 1 ≤ p < n, mas para os casos em que n = p e p = 0 tem-se:

No entanto, considere que não sabemos quanto vale
Vimos que há exatamente um subconjunto com três elementos, o próprio conjunto {a, b, c}. Isso é o mesmo que a combinação de três elementos tomados 3 a 3, que é igual a um. Esse resultado vale para qualquer que seja o número de elementos do conjunto, porque sempre haverá o próprio conjunto como subconjunto com a mesma quantidade de elementos, ou seja, combinação de n elementos tomados n a n é sempre igual a 1.
Deste modo, existem quantas possibilidades de retirar todos os elementos de um conjunto de uma única vez? Como a ordem dos elementos não importa, é possível afirmar que há apenas uma maneira:

Por outro lado, aplicando a equação de combinação simples conclui-se que:

A partir de (I) e (II), para que a equação do cálculo de combinação continue válida para n = p e p = 0, tem-se que definir 0! de modo que seja válida a igualdade: [equação] , porque o único resultado possível que preserva a igualdade é 0! = 1.
Em Matemática, ao se estender um conceito para além do campo de definição original, a intenção é que todos os resultados já conhecidos permaneçam válidos. Portanto, define-se zero fatorial convenientemente como sendo igual a um, porque isso preserva a validade de resultados já conhecidos, nesse caso, a validade da equação de combinação simples (BLOG MANTHANOS, 2011).
Segunda possibilidade: Uma forma bem simples de verificar que 0! =1 foi realizada por uma aluna na disciplina de Prática de Ensino quando deixamos como atividade e discussão alguns “por quês” matemáticos. Nela é utilizada a definição de fatorial, ou seja, para todo número natural n, diferente de zero, temos:

Assim, usando o princípio indutivo percebemos que:

Como n é diferente de zero, podemos dividir os dois lados da igualdade por n, resultando:
Se a definição de fatorial é válida para todo número natural, vamos usar em particular e verificar o que acontece na expressão

4. Por que a fórmula da soma dos n primeiros números ímpares positivos é igual a n2 ?
Para responder, primeiramente, retomamos alguns conceitos como: número ímpar, sequência e progressão aritmética (PA).
-
● Número ímpar: um número é dito ímpar se não pode ser dividido em duas partes inteiras iguais, ou seja, será impar se o número não for divisível por 2.
Por exemplo, os números ímpares positivos são 1, 3, 5, 7, 9, ... e assim sucessivamente, obedecendo ao fato de que, para ser ímpar, um número não pode ser divisível por 2.

-
● Sequência Numérica é todo conjunto ou grupo no qual os seus elementos estão escritos em uma determinada ordem.
Quando falamos em uma sequência numérica desconhecida, atribuímos ao primeiro termo a representação a1, ao segundo a representação a2 , ao terceiro a representação a3, e assim por diante, até a representação do n-ésimo termo por an .
Assim, temos usualmente como representação de:
Sequência infinita: (a1, a2, a3, ..., an, ...)
Sequência finita: (a1, a2, a3, ..., an)
-
● Progressão Aritmética é uma sequência numérica em que a diferença entre dois termos consecutivos é sempre a mesma.
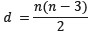
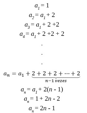
Agora, considere a sequência dos n primeiros números ímpares positivos, ou seja, (a1, a2, a3, ..., an, ...) = (1, 3, 5, 7, an). Note que a sequência (1, 3, 5, 7, ...) é uma progressão aritmética crescente de razão 2, pois, dados quaisquer dois números ímpares consecutivos, a diferença entre eles sempre será igual a 2. Como desconhecemos o último termo da sequência, necessitaremos de uma expressão que represente o n-ésimo termo, ou seja, o termo an. Vamos buscar a expressão para o n-ésimo termo da sequência.
Portanto, a sequência dos n primeiros números ímpares positivos será
(1, 3, 5, 7, ..., 2n - 1)
Conhecendo o termo an, podemos obter qualquer termo dessa sequência.
Vejamos agora que a soma de dois termos equidistantes dos extremos é sempre a mesma, isto é, na sequência (a1, a2, a3, a4, ..., an-3, an-2, an-1,an) temos:

Vamos atribuir a nomenclatura de bloco à soma de dois termos equidistantes dos extremos. Seja Sn = 1 + 3 + 5 + ... + (2n - 1) a soma dos n primeiros números ímpares positivos. Para encontrarmos uma expressão para Sn precisaremos realizar o produto entre o valor numérico de cada bloco e a quantidade de blocos presentes na sequência.
Sabemos que o valor numérico de cada bloco presente na sequência será igual a 2n, por exemplo, a1 + an = 2n (II); já a quantidade de blocos será a metade da quantidade de elementos, pois um bloco é formado pela soma de dois termos equidistantes dos extremos. Assim, a quantidade de blocos [equação] (III).

Substituindo (II) e (III) na expressão (I) temos

Considerações Finais
“Preparar-se para a docência de matemática exige o desenvolvimento de conhecimentos de distintas naturezas, necessários e indispensáveis para a atividade profissional algo que vai configurar a identidade profissional” (MORIEL, WIELEWSKI; 2011, p. 4). Responder adequadamente aos questionamentos dos estudantes é um desses conhecimentos indispensáveis. Respostas vagas, como “porque sim”, “porque é regra da matemática”, “porque é uma definição”, não são respostas plausíveis, principalmente em cursos que formam professores de Matemática.
Neste artigo buscamos trazer alguns argumentos sobre resultados e fórmulas matemáticas muitas vezes utilizadas e vistas como “fórmulas mágicas”, prontas e acabadas, como se não tivessem uma explicação, mas há. Não conseguimos responder a todos os “por quês” de nossos estudantes, porque “a licenciatura, por sua vez, também não é suficiente para esgotar as respostas de todos os por quês, mas é uma forma de iniciar a preparação docente neste âmbito” (MORIEL JUNIOR; WIELEWSKI, 2013, p. 992). Assim, em nossa prática, procuramos construir com os licenciandos uma postura responsável de buscar compreender procedimentos, resultados e fórmulas tanto como estudantes quanto como futuros professores. Trabalhar os “por quês” na formação inicial do professor poderá levá-lo a adotar a prática de questionamentos e busca de respostas.
Na década de 90, Lorenzato (1993) salientou que o estudo de “por quês” não era presente nos cursos de formação de professores. Nos últimos anos, têm-se desenvolvido trabalhos e pesquisas como o de Barbosa (2011), Sá (2012), Moriel Junior e Wielewski (2011, 2013), Costa e Silva (2016), Souza e Oliveira (2017), Lins, Lorenzato e Sousa (2018) que contribuem para a formação e o estudo de estudantes e para o trabalho docente na Educação Básica e em cursos de Licenciatura em Matemática. Este texto caminha na direção de contribuir para a qualidade do ensino de Matemática e de servir como material de apoio para o trabalho do professor.
Referências Bibliográficas
BARBOSA, E. P. Os Por Quês Matemáticos dos Alunos na Formação dos Professores. In: Conferência Interamericana de Educação Matemática - CIAEM, 13, 2011, Recife. Anais...Recife, 2011. p. 1-12. Disponível em: http://www.gente.eti.br/lematec/CDS/XIIICIAEM/artigos/611.pdf Acesso em: 21 set. 2015.
BLOG MANTHANOS. Por que fatorial de zero é 1? 5 de abril de 2011. Disponível em: http://manthanos.blogspot.com.br/2011/04/por-que-fatorial-de-zero-e-1.html Acesso em 05 out. de 2015.
COSTA, F. P. da. Os porquês da matemática. In: Revista “O Colégio Militar”. v. 235, 2015, p. 47-53. Disponível em: https://repositorioaberto.uab.pt/handle/10400.2/4574 Acesso em 10 de jan. de 2019.
COSTA, N. L.; SILVA, K. T. da. Os porquês matemáticos sob a óptica dos licenciandos em matemática de uma universidade em Petrolina-Pe. In: XII ENEM – Encontro Nacional de Educação Matemática, 2016. Disponível em: http://www.sbem.com.br/enem2016/anais/pdf/5748_4031_ID.pdf Acesso em 15 de jan. de 2019.
DANTE, L. R. Porquês da matemática na sala de aula: para professores do 1º ao 5º ano do ensino fundamental. 1. ed. São Paulo: Ática, 2015.
LINS, A. F.; LORENZATO, S.; SOUSA, D. B. de. Por quês matemáticos de alunos do ensino superior. In: V CONEDU - Congresso Nacional de Educação, 2018. Disponível em: http://www.editorarealize.com.br/revistas/conedu/trabalhos/TRABALHO_EV117_MD1_SA13_ID3021_17092018182256.pdf Acesso em 21 de jan. de 2019.
LORENZATO, S. Os “Por quês” matemáticos dos alunos e as respostas dos professores. In: Pro-Posições,Campinas, v. 4, n. 1, p. 73-77, 1993.
MORIEL JUNIOR, J. G.; WIELEWSKI, G. D. Inclusão de por quês matemáticos de estudantes da educação básica na formação inicial de professores de matemática. In: XV Encontro Brasileiro de Estudantes de Pós-Graduação em Educação Matemática, 2011, Campina Grande.
MORIEL JUNIOR, J. G.; WIELEWSKI, G. D. Por quês matemáticos na Revista do Professor de Matemática. In: R. Educ. Publ. Cuiabá. v. 22 n. 51, set./dez. 2013. p. 975-998. Disponível em: http://periodicoscientificos.ufmt.br/index.php/educacaopublica/article/view/1266/1018. Acesso em 18 de ago. de 2015.
REIS, A. Q. M. et al. Oficinas de matemática no Ensino Médio. In: X Encontro Gaúcho de Educação Matemática, 2009, Ijuí - RS. Disponível em: http://www.projetos.unijui.edu.br/matematica/cd_egem/fscommand/RE/RE_48.pdf Acesso em 17 de dez. de 2019.
SÁ, I. P. de. Voltando aos “porquês” nas aulas de matemática. 2012. Disponível em: https://docplayer.com.br/27557602-Voltando-aos-porques-nas-aulas-de-matematica.html Acesso em 08 de fev. de 2020.
SOUZA, J. A. de; OLIVEIRA, S. G. S. Professor, por que a matemática é assim? In: Revista de Educação, Ciências e Matemática. v.7 n.1, jan/abr 2017. p. 57 – 68. Disponível em: http://publicacoes.unigranrio.edu.br/index.php/recm/article/download/3429/2307 Acesso em 08 de fev. de 2020.
Notas